[외적]
| 1. 벡터의 외적의 기하학적 의미 2. 외적의 표현 (+각) 3. 외적의 정의 4. 외적의 성질 5. 벡터가 영벡터일때의 외적, 그 외의 경우 6. 표준단위벡터 7. + 정리: 외적의 이용 8. 외적 예제 9. 평행육면체의 부피는 밑변의 넓이와 높이의 곱이다. 10. Q. 경사면에 세우기 위해서는? |
1. 벡터의 외적이란?


2. 벡터의 외적의 기하학적 의미

3. 외적의 표현 (+각)


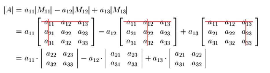
4. R^3 에서의 외적

[예제]


5. 외적의 성질

[예제]

5. 벡터가 영벡터일때의 외적, 그 외의 경우

6. 표준단위벡터의 외적

7. [정리] 외적의 이용
외적 : 두 벡터 u와 v의 벡터 곱인 u * v = (||u|| ||v|| sin 세타) e 를 말한다.
Q.
u x v 의 결과가 벡터인지는 어떻게 아는가?
A.
식의 맨 끝에 단위벡터 e가 달려있음.

두 벡터가 만드는 평행사변형이 오른손 법칙에 따라 그 방향으로 힘을 받는다.
Q.
외적은 어디에 이용되는가?
A.
물리량이 작용되는 곳에 광범위하게 이용됨.
여기서는 백터공간 내의 평행사변형과 삼각형의 면적과
평행육면체의 체적을 구하는데 이용
8. 외적 예제
[예제 1]


[예제 2]

9. 평행육면체의 부피는 밑변의 넓이와 높이의 곱이다.

[ 예제 ]


10. Q. 경사면에 세우기 위해서는?
생략
'CS > 선형대수학' 카테고리의 다른 글
| 14-1. 고유값과 고유벡터, 삼각화 (0) | 2023.12.14 |
|---|---|
| 13주차.고유값과 고유벡터 (0) | 2023.12.14 |
| 12주차. 벡터의 내적 (0) | 2023.12.14 |
| 11주차. 벡터 공간-2(생성/기저/차원) (0) | 2023.12.14 |
| 선대 10주 . 벡터공간에 대한 개념 이해 (0) | 2023.12.14 |